|
PREFACE
THE UNIVERSE IS A LIVING INTELLIGENCE ITS HEARTBEATS THUNDER AT THE
CENTRE OF galaxies and whisper in the nucleus of atoms. With the
spiraling wave-forms of its own essence it creates from within its
infinite depths the matter which constitutes all physical
substances, living or inanimate. It was-it is-it always will
be-timeless.
We are created by this intelligence from the same
myriad of wave-forms that interlace the depths of space, connecting
all things. We and it are one. For all truth and wisdom look within,
for we are a shimmering mass of miniature stars and worlds, with
emerald seas and sandy shores, which in their turn provide home for
intelligence.
Back to Contents
DEFINITION OF
TERMS
Harmony and harmonic etc. as defined by the Britannica World
Standard Dictionary:
1. HARMONY: A state of order,
agreement, or completeness in the relations of things, or of
parts of a whole to each other.
2. HARMONIC: Producing,
characterized by, or pertaining to harmony.
(a) MUSIC: Pertaining to a tone
whose rate of vibration is an exact multiple of a given
primary tone.
(b) MATHEMATICAL; Derived from, or originally suggested by,
the numerical relations between the vibrations of the
musical harmonies, or overtones, of the same fundamental
tone: Harmonic functions.
(c) PHYSICS: Any component of a
periodic quantity, which is an integral multiple of the
fundamental frequency. In this book we discuss the
fundamental harmonies of the vibrational frequencies which
form the building-blocks of our immediate universe: and that
of the theoretical anti-universe which modern scientists
have postulated as existing in mirror-like image of our own.
We theorize that the whole of physical reality which is
tangible to us is formed from the basic geometric harmonies,
or harmonics, of the angular velocities, or wave forms of
light. From these basic harmonies, or resonating wave forms,
myriads of other waves are created which blend in
sympathetic resonance, one with the other, thus forming the
physical structures. Einstein stated that the geometric
structure of space time determines the physical processes.
We theorize that space and time
manifest from the geometric harmonies of the wave motions of
light. The fundamental harmonic of light in geometric terms
being an angular velocity of 144,000 minutes of arc per grid
second. There being 97,200 grid seconds to one revolution of the
earth.
The reciprocal harmonic of light, or 1/144,000 being 694444,
repeating. It was found that to calculate the values of harmonic
wave forms that have sympathetic resonance, it was possible to
disregard zero’s to the right, or left, of whole numbers and
extract the values direct from the mathematical tables. Harmonic
69444 therefore refers to the geometric reciprocal of light,
which in theory forms the basic building-block of the
anti-universe, or region of negative reality.
3. ANTI-MATTER: A hypothetical form of matter in which all the
component particles, as protons, electrons, etc., are assumed to
carry charges opposite to those associated with the
corresponding particles of the known universe.
4. ANTI-GRAVITY: In the known universe all physical matter has a
common gravitational attraction or tendency to coalesce
together. As the word itself suggests, a body under the
influence of antigravitational fields would be repulsed or tend
to move away from normal physical matter.
It has been found in later research that the harmonic of the
speed of light varies in relation to the geometric distance from
the centre of the earth. The value at various levels, from the
centre to the edge of the atmosphere, is demonstrated in my
fourth book, “The Bridge to Infinity, Harmonic 371244.”
Back to Contents
INTRODUCTION
WAKE UP EARTH! THE SIGNALS HAVE BEEN
received.
First, in 1927 by American experimenters
Taylor and Young,
from apparent distances of 2,900 to 10,000 Km. Halls, an engineer,
reported to Carl Stormer of Oslo that echoes of 3 seconds delay had
been heard at Eindhoven, Holland. On 11th October 1928 Carl Stormer,
with Halls, helped by Van der Pol transmitting from Eindhoven,
picked up 3-second echoes on 31.4 meters, which changed to echoes
varying from 3 to 15 seconds.

The signal pulses were transmitted at
20 second intervals. Echoes were received in the following delay
sequence: 8, 11-15, 8, 13, 3, 8, 8, 8, 12, 15, 13, 8, 8. In two
cases echoes were heard 4 seconds apart. The consensus was: that the
signals were saying — Here I am in the orbit of your Moon.
And nobody wanted to listen.
More than twenty years have passed since I presented the manuscript
for my first book, HARMONIC 33, for publication. In it I related the
findings — up to the time — of my investigations into the mystery of
unidentified flying objects. Amongst other interesting facts, I had
discovered evidence of a world energy grid system and little did I
know then that I had opened up a line of enquiry which would cause
me to get attention from the intelligence agencies of several of the
major countries around the world. It soon became obvious that I had
discovered something that many of the worlds power groups preferred
to remain unknown to the general public. As time went on it was
admitted that the world grid did exist, but it was considered that
it was not yet time to openly admit to a source of almost free
energy. Energy means power in more ways than one.
As my work has progressed I have found more than enough evidence to
convince me that the public is not being informed of the most
fantastic and advanced scientific discoveries in the history of man.
After forty years of sightings, scientists, and government agencies,
are still trying to convince the public that Unidentified Flying
Objects are figments of the imagination. I state, without any doubt
whatever, that the public is being conned.
UFOs do exist; they are interdimensional anti-gravity machines.
I believe that many of the machines sighted are visiting us from
outer space, but a great number of sightings are of machines produced
by our own scientists on Earth. The secrets of anti-gravity and free
energy production are known in top scientific circles and they will
go to any length to keep this knowledge from us. Many reasons could
be given for the suppression but I believe that one of the main ones
is the financial consequences of complete release of such advanced
technology on the world economy. This would certainly be a problem,
but the longer things are left the way they are the greater the
problem is going to be.
Whatever the reasons are, we have the
right to know the truth and it is up to every one of us to demand
that the truth be given. Every day, somewhere in the world, there
are verified sightings of UFOs. While the skeptics continue to
assert that such normal circumstances as marsh gas, eye floaters,
the rising and setting of Venus, or the flashing of car headlights
against banks of low clouds, account for UFO sightings, they have
nothing to say about the growing number of radar reports which
indicate that physical objects, not always visible to the human eye,
are continuing to frequent our airspace.
Vehicles in the sky appear to watchers
in the far corners of the globe; they carry out elaborate maneuvers,
then fade from sight; or they leave the area at fantastic speed,
leaving bewilderment, excitement, confusion or outright fear behind
them. Within the last week there has been an incident which has hit
the headlines worldwide. The event occurred in the early morning
hours of January 20 1988, about 40 Km west of Mundrabilla, near the
western Australian border.
Fay Knowles and her three Sons, Patrick (24), Sean (21), and Wayne
(18), watched a glowing object which resembled a giant egg in an egg
cup, chase a truck and a car, which were traveling in the opposite
direction, before it turned and hovered over their own vehicle. They
said it picked the car up off the road, shook it quite violently,
turned it in the opposite direction, then forced it down again with
such pressure that one of the tyres was blown. Crime investigators
from Port Lincoln examined the car, which was covered in an ash-like
substance and sent samples from the interior and exterior to
Adelaide for forensic examination.
It was reported that a similar incident involved a police officer in
the United States some years ago.
The explanations for the occurrence have been more bizarre than the
story itself. One academic said it could have been caused by a
carbonaceous meteorite, “which could do this sort of thing.” I
wonder how much longer the public will accept such obvious nonsense.
As long as there are inexplicable activities in the skies and on the
ground and as long as my existing theories continue to be supported
by facts and reports from many parts of the world, I will not be
satisfied until I am able to approach one of the vehicles closely,
examine it in detail, and if possible communicate with one of the
beings who control it.
The knowledge I now possess is far in advance of that which I had
when I was preparing my earlier works. A great deal has happened
that has tended to confirm my basic calculations and theories.
Moreover, the acceptability gap is constantly narrowing; thousands
of people who have never given serious thought to UFOs are suddenly
turning to all the available reference material in search for a
glimmering of the truth.
During my many years of research I have uncovered a consider-able
body of evidence pointing to the existence of projects being carried
out on a world-wide basis which have direct connections with UFOs.
From this evidence the logical conclusion is that top scientists and
electronic engineers have direct contact and communication with
UFOs.
I also believe it is most probable that a Moon-base has already been
established by our own scientists. The advanced technology would
give them this capability. When the rocket program was wound down
years ago, it was probably because it was obsolete. As I continued
making my discoveries — the existence of a vast power grid, the
devises contrived to establish communication between some groups on
this planet and the UFOs — I made a point of keeping interested
parties in government aware of them, fully expecting to be either
dismissed as a crank, or at least, to be told to stop my activities.
Much to my surprise I was given every encouragement to continue with
my probing and to publish whatever information came to light.
Possibly this is the first time that any government has ever
authorized a civilian to pursue unrestricted research into UFO
phenomena.
Among other things, I have discovered a series of Harmonic geometric
equations which, when put into practical application, will cause
reactions in space-time.
During the 1968 series of nuclear explosion tests by the French at
Mururoa Island in the Pacific, it was requested by the head of a
government department that I provide a list of pre-calculated
explosion dates. In my earlier publications I had indicated how
geometric factors determined any possibility of a nuclear explosion,
or reaction. I supplied the dates, as requested, and later on I was
informed that my calculations had been passed on from Auckland to
the heads of four other government departments before the actual
tests were carried out. My calculations proved correct. This
information is now in the files of the government authorities
concerned.
If they are not already aware, then events of this order must sooner
or later command the attention of international scientific
organizations. One day the scientists will no longer be able to turn
their backs on the basic precepts of true science. They will have to
examine all evidence impartially before they reach their conclusions
- and instead of offering only ridicule, carry out a full world-wide
investigation into all the phenomena related to UFOs, and the world
grid energy system.
Facts cannot be ignored forever;
although it is obvious to all thinking people that there are
interests that would very much prefer the world to be kept in
ignorance and in cultivated indifference for as long as possible. My
investigations have led me into many by-ways, not all of them of
great moment, or interest to others than myself. The workload of my
studies has increased enormously; and yet there are facts, as well
as hypotheses, which I feel must be brought to the notice of the
public urgently.
Some of the information will be found in
the following pages of this updated book.
Back to Contents
1.- THE
BRANCHING AREAS FOR INVESTIGATION
WHAT IS HAPPENING TO THE CLASSICAL IDEAS
of scientific research? It has always been my understanding that the
basic attitude towards any scientific investigation should be one of
non-bias. The scientist, I understood, was it person who collected
all available data on the subject of his study, weighed it and
interpreted it, and reached certain conclusions about it without
prejudice and without preconceived notions.
Today Science is up on a
pedestal. A new god has appeared; his high priests conduct the
rituals, with nuclear reactors, moon-probing rocket ships, cathode
tubes and laser beams. And their territory is sacrosanct; laymen are
denied entry.
A letter to an Auckland newspaper signed by Robert Adams, chairman
of the Institute of Electrical and Electronics Engineers of the USA,
New Zealand section, referring to the proposed installation of an
Omega station, states with supreme satisfaction: “It is not for
laymen to pass comment on such installations.”1 As the more advanced
nations lead the way into a state of technocracy, it becomes more
and more apparent that the laymen of the world will have no more say
in this planet’s affairs than did the slaves of Pharaoh. Already
there are clear indications that the scientific Establishment in a
number of countries is able to operate, and to conduct activities
with government funds without having to account scrupulously to
government or citizenry just what those activities are.
There is an open and manifest activity
in certain directions, but there is reason to suspect that this
often cloaks an inner, secret activity — an activity in which
government and people have no say. Already scientists speak among
themselves in a language that is no longer public property. Have
they, despairing of the muddled state of the world’s affairs, banded
together in a modern — day monastic order of their own, with the aim
of taking over entirely the affairs of the earth?
There is an enormously vast mass of data that has never been
explained satisfactorily, ranging through every branch of every
recognized science; the indefatigable Charles Fort referred to this
body xNew Zealand Herald, 17 January, 1969 of data as the “damned” —
damned by science because it did not fit in anywhere, and so in
order to preserve the status quo of the scientific Establishment,
had to be rejected and ignored. UFOs are in the category of the
damned.
Never before has public interest been so
high in flying saucers, strange aerial lights and objects, reported
landings, unidentified submarine objects, alien voices speaking no
known earthly language on low-frequency radio bands, unexplained
explosions which coincide very often with sightings of UFOs, and a
host of related phenomena. There is no existing science capable of
neatly fitting in all this data and offering a consistent
explanation. To acknowledge what millions of laymen around the world
already know — that UFOs do exist — would result in a complete upset
of the scientific Establishment. The facts are all there, staring
blind science in the face. But the facts are unacceptable;
therefore, UFOs don’t exist.
There is nothing new in this attitude; the only thing new is that
the establishment itself has changed. In medieval times
“Establishment” meant the ruling families of Europe, in the West;
the knowledge then being built up and explored by people known as
“witches” and “alchemists” was contrary to accepted theories about
reality. The penalty for these seekers of truth was frequently a
lingering death.
Today science is on the throne, but nothing else has changed.
Uncomfortable data are still rejected and filed away somewhere, at
best as “curiosities.”
In examining his data, with a clear, unbiased attitude, the true
researcher must correctly reject all those which are clearly not
free of doubtful accuracy; but after all his sifting, if even one
datum remains that cannot be ignored, it is obviously his duty to
come to grips with it.
UFOs are notoriously nothing more than “hallucinations,” but even if
we allow for all the unwitting or otherwise human errors of
observation, there is still the implacable scientific and impersonal
evidence of radar to be accounted for.
Radar is not subject to hallucinations. It records the presence of
solid objects, establishes their movement patterns, tracks their
flight.
Auckland’s radar station at Mangere is only one such station of
thousands throughout the world which is habitually recording the
presence in the sky of unidentified moving objects — moving too fast
to be explained as birds or aircraft and moving in flight patterns
impossible for any kind of earth-made craft. There have been many
occasions when radar control has directed incoming aircraft to areas
nearby where objects are “seen” by radar; frequently the pilots have
been unable to detect anything visible. While they search for the
object, the radar follows the search; the unseen object’s “blip” is
watched on the radar viewing screen; it plays leapfrog with the
searching aircraft, bobs up and down like a yo-yo, or veers away and
moves off at a fantastic speed. Inexplicable, yes — by our present
understanding. But does evidence of this kind also have to be
rejected, ignored, tucked away for “future reference”? It would
appear so.
In January 1969 the University of Colorado issued a report on a UFO
investigation endorsed by a panel of “leading scientists” convened
by the National Academy of Sciences. “Our general conclusion,”
according to the bulky report, “is that nothing has come from the
study of UFOs in the past twenty-one years that has added to
scientific knowledge.” This is of course double-talk; it does not
deny the existence of UFOs outright, but merely publicly admits that
science has failed to come to grips with the world-wide phenomena.
The panel of scientists noted that the report concedes a residue of
“perplexing episodes.”
At England’s Lakenheath airbase, used by both the USAF and the RAF
in 1956, radar operators on the ground detected “one or more”
targets moving apparently at speeds as great as 2000 or 4000 mph,
although there were no sonic booms. They made right-angle turns at a
‘Tew hundred miles an hour” (an impossible maneuver for terrestrial
craft).
Two RAF fighters were sent out, and one obtained radar gunlock on
the target. But the object, whatever it was, circled the fighter’s
tail and remained there in spite of all evasion attempts. The plane
eventually had to land in order to refuel, and ground staff saw “one
or more white rapidly moving objects.”
This is but one example of the inexplicable residue which flatly
refuses to be categorized or classified into some convenient
pigeon-hole of knowledge. There were fifty-nine cases cited by the
report as being of “special interest from several hundred” that were
reviewed.
Mr. William Ryan (Democrat, New York), the congressman in Washington
who is also the voice of the National Investigations Committee on
Aerial Phenomena (NICAP), which has about 10,000 members in some
forty countries, told the House of Representatives:
A Federal UFO surveillance programme should be set up. UFOs cannot
be wished away, and reported sightings will persist.” And NICAP
added a bombshell of its own: it claimed to have proof that the
Colorado investigation team had never intended to study UFOs
objectively, but had intentionally fitted its data into a negative
report.
Reading of this, I was inevitably reminded of a document in my
possession. It is a copy of a directive to USAF investigators of UFO
reports; it is signed by General Curtis LeMay, who was at the time
of its publication chief of the USAF. In effect it instructs
investigating officers of UFO reports how to denigrate UFO reports,
how to play them down and how to offer logical explanations for
various phenomena. It does not suggest that UFO sightings are to be
considered worthy of a fuller study.
I wonder: can scientists really be as hollow as they appear to be?
Do they really imagine the much-despised laymen of the world will
settle for shrugged shoulders and a shroud of marsh gas? I wonder:
couldn’t it be that the scientists already have the full explanation
of UFOs — and for reasons not yet clear, are deliberately keeping
the knowledge as a jealously-guarded secret within their own closed
ranks?
Incredible as it may seem, this appears to be the truth. I have
amassed a considerable amount of evidence which strongly suggests
that scientists in a number of countries not only know a great deal
about UFOs, they also know how to keep in contact with them. I
believe that from such contacts there has already been a
considerable exchange of information.
I believe that the Establishment has
gone through a phase of shock, amounting to severe trauma, as new
knowledge has been revealed, and that there is not one science, not
one major industry, that can remain unaffected by what the
scientists have already learned. The rocket programmes of the Soviet
Union and the United States, the transportation systems of the
world, the power supply authorities and every conceivable kind of
industry would be rendered obsolete if a new, unsuspected yet
universally available system of power were to become available. I
believe the earth is on the brink of having access to that power
source.
I am neither a naive fantasy fan, nor a proselytizer of any
particular brand of faith. I am in complete accord with the French
authors, Louis Pauwels and Jacques Bergior 1,
in that I declare: it is not necessary to believe everything; it is
only necessary to look at everything, to study and to examine
everything; to explore with an unbiased mind, free of bigotry; to
sift evidence and known facts, and upon these to reach certain
tentative conclusions which are not the product of preconcieved
notions. I hope that at least a large number of readers will feel
the same way.
1
The Dawn of Magic, 1963
The road towards an equation began with the discovery that there
exists on this globe an all-encompassing grid, the interlocking
lines of which correspond to the lines of flight of verified UFO
appearances. It would be in order here to recapitulate briefly, the
theories and calculations regarding the nature of that grid. First
of all, a geometric pattern of UFO activity was discovered which
indicated a definite purpose in the presence of UFOs about our
planetary surface. Having established the pattern of the grid, the
next step was to break it down into mathematical co-ordinates. When
this was done, it was found that all the values represented in the
grid had direct harmonic relationships with the speed of light,
gravity and earth mass.
Once these relationships became clear it was possible to theorize on
the method of propulsion employed by the UFOs. It would appear that
by setting up a harmonic imbalance of gravitational forces, the UFOs
are able to reposition themselves in space-time; that is, the UFO
moves from one point to another in order to restore the balance of
the forces caused by space-time geometries. I hope the full meaning
of this concept will become completely clear as we proceed.
The thinking up to this point followed
rationally from the theories of Einstein which state, in part, that
the geometric relation-ships of space and time control all physical
processes. My findings led me to conclude, further, that volcanic
activity, atomic disruption (nuclear bomb detonations) and
earthquakes could all be related to the grid structure, an atomic
bomb being a space-time geometric device, and volcanoes and
earthquakes occurring on geometric points of the grid system, due to
disturbances at these points.
A correlation of all these different phenomena led me to conclude
that all major changes of physical state, anywhere in the world, are
brought about by the harmonic interactions of those manifestations
which we refer to as: light; gravity; mass; and electrical and
magnetic forces.
The controlled manipulation of these resonant factors would, in my
hypothesis, make it possible to move mass from one point to another
in space-time (that is, to the eye of a theoretical observer,
instantaneously); or to change the form of mass to a more, or to a
less, tangible state. The contraction or expansion of time could
also be controlled by the same manipulations of harmonic pulsations,
or resonances, since time has a direct relationship with the speed
of light. The “speed of light”, as we call it, is not a constant,
contrary to all the declarations of the scientific establishment. In
theory, for this is yet to be demonstrably proven, there is no limit
to the speed of light.
The concept of relativity has been with us for a long time; it
reached its clearest expression at the hands of Albert Einstein.
Now, a study of UFOs can show us some of the practical applications
of the theory.
It is commonly believed that Einstein expressly declared that the
speed of light was an absolute, and that nothing could exist beyond
this speed. Biologist Ivan T. Sanderson states in a recent book1
that shortly before his death, Einstein denied that he had ever made
any such statement:
“What he did say was that around 186,000 miles
per second mass would become infinite — that your backside would
become your front side, and time (as we conceive it) would come to a
stop — in other words, there is no reason, theoretical or otherwise,
why that particular speed cannot be exceeded.”
There is also a widely-held belief,
possibly one that has been deliberately encouraged, that Einstein’s
work on his “unified field theory” had not reached its final stage
when his death left this work to be completed, presumably, by still
other brilliant minds yet to develop. But Sanderson asserts that Dr.
B. Russell has privately stated that Einstein completed his theory
before his death. There is evidence to suggest that Dr. Russell
might be correct. In 1945 secret experiments were carried out in the
mid-Pacific by American scientists. A unified force field was
created, and a ship of the US Navy, fully crewed, was made to
disappear. Ivan Sanderson and others have brought forward further
detailed evidence in their own books.
Over the past few months I have found evidence which strongly
suggests that the unified field concept has been incorporated in the
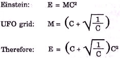
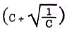
UFO grid system, in a harmonic sense. By doubling the C, or light
values in the harmonic unified field equation based on the famous
Uninvited Visitors, 1968 Einstein equation (E = MC2), a
gravitational effect becomes possible.
But I will leave the full explanation of this to another place. In
Harmonic 33 it was my endeavor to establish that the harmonic
equivalents of light, gravity and mass and so on are built into the
global UFO grid system as geometric, or angular, units, and are
expressed as minute of arc values. Some of these values are as
follows:
Speed of light harmonic: 1439
Anti-speed of light harmonic: 695
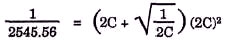
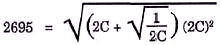
Harmonics associated with the earth’s magnetic field: 2545.5
and 3930.
Earth mass harmonic: 1703
Logarithmic and radian values as well as
trigonometrical values were also found to be harmonically tuned to
the geometric pattern of the system.
At that time my calculations were taken only to four-figure
accuracy, chiefly because this enabled me to carry out my
calculations more easily. My log tables only run to four figures in
any case, and it would have taken many months of additional work to
find all the correlations if I had had to work with, say, seven or
eight-figure harmonics.
But in recent months, thanks to the receipt of much new information
coming to me, as I shall explain later, I did extend my harmonics to
five figures. I then found a harmonic unified field equation.
The main lattice type pattern of the grid, I had found, consisted of
areas of 30 minutes of arc oriented approximately north-south (006°
true) and 30 minutes of arc approximately east-west (276° true).
Subsequently, it has been my discovery that these areas are further
divisible into sixteen smaller areas, measuring 7.5 by 7.5 minutes
of arc.
Note:
For all practical purposes the orientation of the system has been
stated as 006 degrees true, according to the accuracy of the plotted
grid on my original maps. Recent computer work allows the
possibility that the actual orientation could be: 5.90165 degrees.
The harmonic reciprocal of this value is 0.169444. This would create
a direct harmonic relationship with mass, as discovered in later
research.
Recent radar and verified visual sightings of UFOs, plus a large
volume of evidence coming to light in the New Zealand area alone,
have verified the existence of the grid in the pattern. I have
described it beyond any shadow of reasonable doubt.
Furthermore, the creation of a complex network of manned radio
stations within the structure of the UFO grid system proves not only
that the system is there, but also that our technical experts have a
knowledge of it, an understanding of it, and through it, direct
communication with the UFOs themselves. Incredible? In the framework
of conventional thinking, and in the light of concepts which we have
been conditioned to accept as the cornerstones of what we
euphemistically call reality, my statements may indeed seem beyond
belief. I do not intend to allow my incredible statements to remain
hovering in mid-air, as it were.
In this book I shall be presenting a variety of evidence, facts and
hypotheses. I hope to answer at least some of the important
questions that must arise; and I hope to point the way in which
other investigators, perhaps infinitely more competent than myself,
may travel in the search for truth.
Meanwhile, I must at this stage offer some evidence to the doubtful
that the grid really does exist.
I am satisfied that there is an overwhelming body of evidence that
provides all the proof necessary, and that establishes that the
harmonic radiations emanating from it are in turn causing certain
physical effects at specific localities. Moreover, the activities of
scientists in certain key areas indicate that there is feverish,
government or otherwise backed, activity going on in connection with
research into the basic structure and character of the grid. My grid
system, drawn up on a map of New Zealand, was completed in 1965. As
verified sighting reports came to hand, I plotted on this map the
precise positions of the sightings, and not to my surprise found
that invariably the UFO positions fell with uncanny precision on the
grid’s lines of longitude or latitude — never in the intervening
spaces.
In September 1967 reports came of four accurate fixes of UFO
sightings a few minutes apart in the Hawke’s Bay area (Map 1). Here
were no isolated sightings, but four, all within a short period of
time and in a relatively small area.
When I plotted the position of these four verified sightings on the
grid map I found they fell exactly on four parallel lines of grid
latitude. One was over the city of Napier, one to the north-west,
one to the north-east, and one to the south-east. As I told an
Auckland

MAP 1
A portion of the grid superimposed on the Hawke’s Bay area where UFO
sightings were reported. The four sightings (ringed) coincide
perfectly with the lines of the grid which had been drawn up three
years previously on the basis of confirmed sightings throughout New
Zealand. reporter at that time:
“The Hawke’s Bay sightings provide
the most Impressive evidence to date in support of my grid theory.”
The UFO, or UFOs, incidentally, were seen on 3 September 1967 by
residents of Hastings, Pakowhai, Wairoa and the Esk Valley. Did I
somehow employ ESP when I constructed the grid map three years
earlier predicting, as it were, by means of lines on a map just
where future sightings would be made?
We are told by the scientists that, theoretically, there should be a
region of negative matter in the universe. This would constitute a
negative reality that would consist of matter made up of
anti-protons, anti-electrons and anti-neutrons etc. If any particle
of matter from the negative reality were to drift into, and come in
contact with, a particle in our positive reality there would be
instant annihilation of both particles. A Cosmic atomic explosion.
This sounds all very well and would
create some sort of symmetry in the Universe, but they never explain
where the boundary is between the two regions. Space is not empty,
as most people imagine. There are all sorts of particles drifting
round in space which could light the fuse of such a system. If this
were so I believe the Universe would be a very dangerous place to
live in.
My fundamental theory concerning the formation of particles of
matter and anti-matter is as follows:
First, matter and anti-matter are
formed by the same wave motions in space. The waves travel
through space in a spiralling motion, and alternately pass
through positive and negative stages. Matter is formed through
the positive stage, or pulse, and anti-matter during the
negative pulse.
An electron is formed by three spiraling
wave motions in space. These waves pass through each other at 90°.
The point of intersection in space causes the manifestation of what
we term electrons. The electron thus formed carries out a spiraling
motion. Each spiral of 360° forms a single pulse. The circular
motion of an electron about the nucleus of an atom is therefore an
illusion. The relative motion of the nucleus and electrons through
space give the illusion of circular motion. The period during the
formation of anti-matter is completely undetectable, since obviously
all physical matter is manifesting at the same pulse rate, including
any instruments or detectors used to probe atomic structures. The
period or frequency rate between each pulse of physical matter
creates the measurement which we call time, as well as the speed of
light, at the particular position in space of which we are aware, at
any given moment. (See Diagram 1).
Note:
Recent research has indicated that the electron could possibly move
through 371.27665 degrees. This being the radius multiplied by 3.24,
which I call spiral Pi. The harmonic of 37127665 would be a
reciprocal value of that derived from the unified equations. (26934)
approx.
If the frequency rate of positive and negative pulses is either
increased or decreased, then time and the speed of light vary in
direct proportion.

DIAGRAM 1
Formation of matter and anti-matter in alternate positive and
negative cycles. The frequency rate between each pulse of physical
matter determines the rate of flow of time, and the speed of light,
at any particular point in space.
The path of the nucleus through space would also be a spiral, but
for the sake of simplicity it has been shown as a straight line in
this diagram.
This concept would explain time as a geometric, as Einstein
theorized it to be.
A rough analogy of physical existence can be made by reference to a
strip of motion picture film. Each frame or static picture on the
film strip may be likened to a single pulse of physical existence.
The division between one frame and the next represents a pulse of
anti-matter. When viewed as a complete strip, each frame would be
seen as a static picture and, in a sense, by comparing two of these
static pictures — say one at either end of the strip — then the past
and the future can be viewed simultaneously.
However, when the film is fed through a
projector, we obtain the illusion of motion and the passage of time.
The divisions between the static pictures are not detected by our
senses because of the frequency, or speed, of each projection on the
movie screen. But by speeding up or slowing down the projector, we
can alter the apparent time rate of the actions shown by the film.
To continue this analogy: our consciousness is the projector. The
conscious “I am” part of our individuality passes from one pulse of
physical matter to the next within the framework of the physical
structure which we term our body, thus giving the illusion of
constant reality, and the passing of time.
It is logical to assume that we have a twin stream of consciousness
on the anti-matter side of the cycle, which in fact creates a
mirror-image of our own individual personality. (This postulate has
already been put forward by scientists.) The frequency of
manifestation of both streams of consciousness, that is, the plus
and the minus “I am” would position our awareness of the illusion of
reality at a particular point in space and time. In other words, if
the frequency of pulse manifestation is altered, even fractionally,
our awareness of reality, in the physical sense, will shift from one
spatial point to another. In fact, we would travel from one point in
space to another without being aware that we had traversed distance
in the physical sense. This would be space travel in the truest
sense. Let’s look at another analogy: we can consider a simple
spiral spring as representing the wave motion of an electron through
space. Every second 360° spiral of the spring represents the path of
the electron in physical matter, while the opposite applies to
anti-matter.
The theory outlined above explains why light has been described as
being caused by both a wave motion and a pulse. Both explanations
are correct.
A pulse of light is manifested when the energy level of the atomic
structure is altered by outside influences (theory of Max Planck).
In the physical plane, the electron of the atomic structure appears
to jump from its orbit. According to my belief, the electron does
not jump orbit. But this is the illusion we obtain, since we are not
equipped to perceive the path of the electron during the anti-matter
cycle. What actually happens is that the radius of the spiralling
motion is increased or decreased in order to absorb or release the
energy imparted to, or removed from, the atomic structure. If the
energy is imparted, then the electron must extend orbit in order to
maintain balance in the system; and vice versa. Light, or any other
radiant energy above or below light frequency, is therefore
manifested by undetectable changes in the radius of the spiral
motion of the electron during the anti-matter cycle.
If this hypothesis is correct, movement from one point in space to
another point, regardless of apparent distance — in other words,
true space travel — is completely feasible. By manipulating the
frequency rate of the matter-anti-matter cycle, the time and speed
of light can be varied in direct proportion to any desired value.
This, I believe, is the method of propulsion used by UFOs, and it is
at the core of the theory upon which I have constructed the global
UFO grid system.
This is the basis. I am aware that considerable refinement will have
to be undertaken. But I believe that the completed concept will be
quite simple. As our technocracy advances, you will find from a
casual examination of many examples (printed circuits, for example)
that equipment and apparatus become simplified rather than more
complex.
And now, to round off this section of my mathematical theories, in
a word or two about the equation which I believe will set up a
reaction in space-time.

The classical Einstein equation is contained
in this, but the speed of light factor, C, has been doubled.
Furthermore:
is equal to M, or the volume or mass of any unit body
in space.
By calculation of the diameter of any spherical mass and the rate of
its rotation, the value of the speed of light, time and gravity
accelerations should be capable of being determined. If the volume
of irregular bodies can be determined, then by calculation of the
equivalent spherical volume the other values can also be determined.
There is a corollary: the linear speed of light in any particular
point in space determines the volume of the body precipitated at
that point. Therefore, relative to earth values of light, a lesser
speed will determine smaller masses, and larger speeds will
determine larger masses — such as that of Jupiter, for example. The
angular acceleration of light will remain constant.
Corollary: for any unit body, once precipitated, then the rate of
rotation, or spin, and its volume will directly determine its rate
of acceleration in space (i.e., its movement in space relative to
other bodies). This movement will maintain a constant balance of the
angular acceleration of light at the point in space in which the
body may be at any given instant.
If these theories seem to be complex and abstruse, bear with us.
They are presented here as a means of establishing the foundation of
other theories in support of which evidence will be offered.
Back to Contents
2.-
MATHEMATICS OF THE WORLD GRID
MY INTEREST IN THE INCREASING UFO ACTIVITY in the New Zealand area
led me to the discovery that the surface of the world was
crisscrossed with an intricate network of energy grid lines. I began
my research in 1965. In a general way I was convinced that UFOs were
actively engaged in a survey of the earth for some definite reason.
I felt that their visits were not haphazard; they were not just on
casual sightseeing tours.
Quite a number of investigators around
the world had come to the conclusion that the sightings were
beginning to form a pattern. At this period, however, this pattern
was so complex as to defy any definition, or solution. By the
correlation of sightings small sections of track had been
identified, and some saucers had been seen moving along these set
paths. Some of these had hovered over certain spots at set
intervals. But these bits and pieces of tracklines were so scattered
around the surface of our planet that It was quite impossible to fit
them together into any semblance of order.
I was certain that if an overall pattern could be found and plotted,
it might be possible to establish the reason behind UFO activity. I
considered that the pattern would be geometric if these things were
intelligently controlled, and that if somehow I could find the key
to one section then I might solve the rest by duplication and
Inference. I had sighted a number of unidentified objects in the sky
over a period of several years, and by correlating two of these with
other data, I was eventually able to construct a grid system which
covered the whole world.
One of these sightings was in 1956. I was a DC3 co-pilot crewing a
flight from Auckland to Paraparaumu. It was about 6pm, conditions
were calm, and there was unlimited visibility. We were just south of
Waverley at 7000 feet when I saw this object at an extremely high
altitude in the east. I drew the captain’s attention to
it and together we watched it travel in a curved trajectory from
east to west across our track until it disappeared in a flash of
light at about 10,000 feet in the area of D’Urville Island. It
appeared to travel across New Zealand in the vicinity, or slightly
to the north, of Cook Strait, and it was so large that two streaks,
similar to vapor trails, were seen to extend from either side of
its pale green disc.
When about halfway across the Strait a small object detached itself
from the parent body and dropped vertically until it disappeared. It
looked almost as if the main disc was at such a high temperature
that a globule had dripped from it. I thought about this later and
decided that if that were so, the small object would also have a
curved trajectory in the direction of the parent body. But this was
not so; it detached and dropped vertically down at great speed.
There could be only one answer from this action: the small body must
have been controlled.
Calculations at a later date proved this UFO to have been between
1500-2000 feet in diameter. A report in a Nelson newspaper on the
following day described an explosion at a high altitude to the north
of the city. The shock-wave broke windows in some local glasshouses.
The other sighting occurred on 12 March 1965. This was the best and
most interesting of them all, and from then my investigations were
pressed on with all speed until they culminated in my present
findings.
I had always expected to see UFOs in the sky, and that was where my
attention was usually focused. When I was flying I was alert and
ready to analyze any object sighted from the aircraft. I never
expected to find a saucer landing at my feet and so far this has
never happened. This sighting however was different from all the
others because I observed it lying under thirty feet of water. I was
scheduled to carry out a positioning flight from Whenuapai,
Auckland’s main airport at that time, to Kaitaia. Departure was at
11 am and as no passengers were involved and the weather was
perfect, I decided to fly visually to Kaitaia along the west coast.
An officer from the operations department was on board and this was
a good opportunity to show him some of the rugged country to the
north. (I must stress that air-traffic regulations were strictly
observed during the flight.)
On leaving Whenuapai I climbed to clear the area and when
approaching the southern end of the Kaipara Harbour, just north of
Helensville, I dropped to a lower altitude to have a better look at
anything in the flight path. The tide in the Harbour was well out,
and the water over the mudflats and estuaries was quite shallow.
I suppose we were about a third of the way across the harbor when I
spotted what I took to be a stranded grey-white whale. I veered
slightly to port, to fly more directly over the object and to obtain
a better look.
I suppose a pilot develops the habit of keeping his emotions to
himself. As far as I can remember I gave no indication of surprise,
and I said nothing as I looked down. My “whale” was definitely a
metal fish. I could see it very clearly, and I quote from the notes
I made later.
-
The object was perfectly streamlined
and symmetrical in shape.
-
It had no external control surfaces
or protrusions.
-
It appeared metallic, and there was
a suggestion of a hatch on top, streamlined in shape. It was not
quite halfway along the body as measured from the nose.
-
It was resting on the bottom of the
estuary and headed towards the south, as suggested from the
streamlined shape.
-
The shape was not that of a normal
submarine and there was no superstructure.
-
I estimated the length as 100 feet,
with a diameter of 15 feet at the widest part.
-
The object rested in no more than 30
feet of clear water. The bottom of the harbor was visible and
the craft was sharply defined.
Inquiries made from the navy confirmed
that it would not have been possible for a normal submarine to be in
this particular position, due to the configuration of the harbor
and coastline. The chief engineer of the Ministry of Works,
Auckland, checked this spot on the harbor with a depth-sounder in
September 1969. He informed me afterwards that a hole had been
detected in the harbor bed approximately one eight of a mile wide
and over 100 feet deep, which I consider would indicate that some
activity had been carried out in this position some five years
previously. (See photocopy of the report — page 246).
I had a further key to the puzzle in April 1965. My wife saw an
advertisement in the local paper seeking members for a UFO
organization called New Zealand Scientific and Space Research. I
contacted this organization and found that a vast amount of
information had been very efficiently compiled. Material had been
collected from twenty-five different countries over a period of
twelve years. I was invited to study the information at leisure.
Amongst this mass of data I discovered the reports of a UFO that had
been seen from several different localities in both islands of New
Zealand on 26 March 1965. People in Napier, New Plymouth, Palmerston
North, Wanganui, Feilding and Otaki Forks in the North Island;
Nelson Coast Road, Blenheim and Westport (Cape Foulwind) in the
South Island, had all reported sightings. It was decided that I try
to plot the track of this UFO. From the considerable amount of
information available I found that the maximum variation in the
times of sightings from all areas was 15 minutes. Most reports gave
the time as 9:45 pm. This proved that the object must have been very
large and at high altitude during the greater part of its
trajectory.
Here is a brief description of each sighting taken from the original
reports:
1. New Plymouth
About 9:40 pm Mr. A. Nixon went outside his home to put out
the milk-bottles. He had a clear view over the sea to the north.
A glow first appeared on the horizon and as he looked at it he
saw a light that was approaching slowly. Then it came nearer at
tremendous speed, lighting up the clouds in a red glow as it
passed through them. As it passed overhead in a clear patch of
sky, the object was sharply defined. It was bright white in
color, and was ball-shaped with a silvery edge. After passing
overhead the rear emitted a red glow. It sped to the west of Mt
Egmont and disappeared. According to Mr. Nixon “his hair stood
on end”.
2. Napier
A bright object was seen by a resident to curve through the
sky at 9:45 pm. It was visible in the north-west and changed
color from white to a vivid green, then to a vivid red before it
disappeared behind some trees.
3. Wanganui
Between 9:30 pm and 10:00 pm Mr. M. F. C. Grotenhuis was
looking out of a window when he saw a flash similar to
lightning. Then he observed a fireball which appeared to fall
towards the south. It began as a bright white light, changed to
greenish blue, then to a sizzling red before it disappeared like
a shooting star. The sky was clear at the time.
4. Feilding
While cycling up a hill Miss Ralda Campbell heard a swishing
sound. It was followed by a blinding bluewhite light, similar to
a flash of sheet lightning. The whole area was lit by this, then
she saw a huge orange ball that “looked like a dinner-plate”.
The ball seemed to emanate from the left edge of the blue-white
light.
After a few seconds it exploded and three orange balls, like
tennis balls and very dense, appeared at the right-hand edge and
disappeared.
Miss Campbell said the three smaller balls seemed to emerge from
the larger ball when it vanished. The apparent track was from
north-east to south-west.
5. Palmerston North
A woman witness saw an object in the sky at about 9:30 pm.
It was a vivid green with a long comet-like tail issuing from a
deep orange centre. It descended and disappeared from view
behind a nearby building.
6. Otaki Forks
This is a position in the tararua mountain range. While
tramping in the area, five Venturer Scouts saw an enormous
bluish-white ball of light in the sky at 9:45 pm. This was
surrounded by what looked like sheet lightning. The sighting was
brief; the ball seemed to be stationary and apparently far away
to the west, and about half the size of a full moon. One of the
scouts, Mr Parnell, Baid that later the size of the object
worked out trigonometrically by the group and the diameter
arrived at was about 2000 feet.
7. Nelson
Over the mudflats of Tasman Bay, a resident saw a very
bright flash in the sky. Immediately afterwards, three bright
green balls descended at a 45° angle. This was 9:45 pm (a flying
pawnshop?).
8. Nelson Coast Road
At 9:45 pm a Nelson resident driving towards Wakapuaka saw a
big white ball with a bluish tail light up the place like day.
It then burst in a shower of bright particles.
9. Westport
Mr. L.H. Keay, a farmer, saw a bright object in the sky. It
was far brighter than the moon, and lit up the sky with a bright
white light that changed to green, and then to red. It
apparently fell eastwards. The time was “somewhere around 10
o’clock”.
10. Blenheim
Mr. and Mrs. Bell and their daughter Linda, Margaret White,
and many other people, saw a great green ball of light that
seemed to explode over their heads. A small brightly-colored
ball broke away and whizzed off to the east. It was 9:45 pm.
Mrs. M. Christensen observed a green ball, about the size of a
cricket ball. It descended steadily from the sky, and appeared
to be very close and dull in color. Time 10:15 pm.
There was nothing of any great
significance or originality in these accounts, and they followed the
pattern of many other sightings. However from the mass of detail
supplied by so many different people over so wide an area, it was
possible to plot the track of the object with reasonable accuracy. I
started work on a Mercator’s plotting chart, and after several hours
of checking one report against the other and calculating possible
elevations and trajectories, I felt I had refined the plot
sufficiently to draw in the final track of the object, or objects.
The result is shown on Map 2.
The track began about seventy nautical
miles north of New Plymouth, passed just to the west of Mt. Egmont,
and finished at D’Urville Island. When first seen the altitude would
have been about 30,000 feet curving down on a flight path to
somewhere around 10,000 feet when it disappeared.
Some time after those sightings on 26 March 1965 I had another look
at the plot I had made. I could find no flaws in my thinking, but I
needed more information. As I was to discover many times later, the
clues were quite obvious, but I was then not sufficiently expert in
realizing their significance. In point of fact this first track-line
was to be the starting point of a whole string of discoveries of
which I have yet to find an end.
I pored over that plot for a long time before it suddenly occurred
to me that the track appeared in line with the position where I had
sighted the unidentified submarine object, or USO, on 12 March 1965.
On extending the line back I found it was in line with the sightings
of 26 March. I was positive there had to be a connection - but to
prove it was a different matter.
I checked my report files again and found that on 2 March some
fishermen just north of the coast at New Plymouth had seen a large
object plunge into the sea and disappear. They thought it was an
aircraft and reported the incident to the appropriate authorities,
but no aircraft or personnel were missing. I checked this position
on the map and found that it also fitted the established track-line.
Was this connected with the USO of 12 March, and could the two
sightings be of the same object, sighted twice in ten days? Could it
be working slowly up this track carrying out some project on the sea
bed? I tucked this thought away for future reference and carried on
with the search.
It was some days later that I remembered the UFO I had seen in 1956.
This object was similar and, most significant of all, both objects
had apparently traveled at 90° to each other, and finished in the
same grand all illuminating flash in the area of D’Urville Island.
MAPS

Showing path of UFO from Kaipara Harbour to D’Urville Island.
If these objects were not controlled,
how could anyone explain such coincidences? No two meteors or other
natural phenomena could coincidentally carry out similar maneuvers,
travel at 90° to each other, and both decide to end their existence
at the same point in space, within nine years of each other. Also,
in both cases, objects had been seen to emerge from the parent
bodies. Was this irrefutable evidence that they were intelligently
controlled vehicles. I plotted the track of the 1956 UFO on the map
at 90° to the north-south line. I realized that I had no definite
proof that they were at exactly 90° to each other or that the 1956
track was not a few miles north or south of this position — still, I
had to start from somewhere, and I would assume this to be correct
unless and until other evidence proved me wrong.
Two track lines at 90° meant little on their own. If I found several
at 90°, I might have something — a grid perhaps? These two lines
hinted at this, and I believed that if I could solve the system of
measurement, then I had two readymade baselines to work from.
Once again I went to the UFO files and found that a Frenchman by the
name of Aime’ Michel had been studying UFOs for a number of years
and had found small sections of track-lines in various areas of
Europe. Saucers had been seen hovering at various points along these
track-lines, and Mr. Michel had observed that the average distance
between these points was 54.43 kilometers.
By itself this was only a
small grain of information but, like a starting gun, it set me off
again.
Using the Kaipara Harbour as a starting point, I marked off the
54.43 kilometer intervals along the track-line I had found. I was
disappointed when I was unsuccessful in obtaining an even
distribution of positions to the D’Urville Island disappearing
point. I checked and re-checked, but nothing worked out. I slept on
the problem, and at some time during the night inspiration turned up
the wick; once more the light grew bright.
I remembered that a great number of sightings had occurred around
the Blenheim area. Even before the advent of ordinary aircraft in
New Zealand, this area had been visited by UFOs. I had read about
them in old copies of the local papers, and many recent sightings
suggested again that this area had something special about it.
So I dragged out my map and extended the track-line until it cut a
90° coordinate from the town of Blenheim. The distance from this
point to the Kaipara position I found to be exactly 300 nautical
miles. So far so good. I stepped off the 54.43 kilometer intervals -
and swore. Still the thing didn’t fit! Frustration was always my
companion in this business, and we had many, many arguments!
Sometimes it was a protracted battle of wits...a fiddle with my
computer and I was off again.
The distance of 54.43 kilometers found by Michel was only an average
estimate. I found that 55.5955 kilometers was equal to 30 nautical
miles, and this divides exactly into 300 nautical miles, ten times.
Was this the system of measurement used by the UFOs? There was no
proof of course, but it seemed a reasonable assumption. A minute of
arc is a measurement which could apply to the Whole universe. It
just so happens that a minute of arc, from the earth’s centre
subtends, at the surface, what we call a nautical mile. So be
it........
Since I made that statement in my first book I have been attacked
repeatedly by university personnel and others in the academic field.
They have maintained that degrees and minutes of arc are arbitrary
values set up by the ancient mathematicians and that therefore my
calculations are meaningless. I believe the evidence shown in this
book will now convince them that my original assumptions were
correct. The angular values of 360° and 21,600 minutes of arc which
constitute a complete circle have direct geometric associations with
the speed of light.
The fifth interval of 30 nautical miles from the Kaipara position
coincided with the position off the coast of New Plymouth where the
mysterious object had plunged into the sea. The plotted points of
disappearance of the two large UFOs at D’Urville Island did not
quite match up with the ninth interval, but this did not worry me
unduly as I expected that a small percentage of error must be
expected in my original plot. I readjusted this position to the
ninth interval, and carried on the search to see how many other
sightings I could fit into this pattern.
The results exceeded my expectations. I found that by using units of
30 minutes of arc latitude north-south, and 30 minutes of arc
longitude east-west, on my Mercator’s map, a grid pattern was formed
into which a great number of UFO reports could be fitted. I
eventually had a map with sixteen stationary and seventeen moving
UFOs plotted on grid intersections and track-lines.
MAP 3

Having satisfied myself that my
reasoning and plotting were not false, I considered that I had good
proof that New Zealand, possibly other countries, and probably the
whole world, were being systematically covered by some type of grid
system (see grid map 3).
I subsequently discovered that the grid lattice could be further
divided. It is now evident that the grid lines in the main system
are spaced at intervals of 7.5 minutes of arc north-south, and
east-west. The importance of this will prove itself when compared
with the rest of the calculation in this book. There are 21,600
minutes of arc in a circle, and when this is divided by 7.5 we get a
value of 2880. The grid lattice therefore is tuned harmonically to
twice the speed of light (288), as will be shown in other sections.
It appeared that I had found a section of a geometric grid pattern
in the New Zealand area. I now had to form some theory of
construction for the whole world. I could then possibly fit the New
Zealand section into it.
By drawing a series of patterns on a small plastic ball I finally
found a system which could be used as a starting point for a global
investigation. (The basic pattern is shown in diagram 2.) I was sure
I was on the right track, but I now had to superimpose this pattern
on the world globe. It was essential that I find a point position
somewhere on the earth upon which to orientate the geometrical
pattern. I finally came upon an item of news that gave me a very
important clue on how to proceed.
On 29 August 1964 the American survey ship Eltanin was carrying out
a sweep of the sea-bed off the coast of South America. A series of
submarine photographs was being taken of the area by means of a
camera attached to a long cable. A surprise was in store when these
photographs were developed. On one of the points, in marvelous
detail, was an aerial-type object sticking up from an otherwise
featureless sea-bed.
The object appeared to be metallic and perfectly symmetrical in
construction. The array consisted of six main crossbars with small
knob-like ends and a small crossbar at the top. Each cross looked to
be set at angles of 15° to the others, and the whole system stood
about 2 feet in height. The position where this object was found was
given as latitude 59°08’ south, longitude 105° west.
As this bit of
ironmongery was situated at a depth 13,500 feet below the surface, I
was certain that no human engineers had placed it there.

Aerial type object photographed by the survey ship “Eltanin’

DIAGRAM 2
Showing relationship of grid structure to the geographic poles. Each
of the two grids has a similar pattern, the interaction of which
sets up a third resultant grid. The poles of the three grids are
positioned at three different latitudes and longitudes.
Scientists may be able to descend to those depths in specially
constructed bathyspheres, but I don’t think they could work as
deeply as that on a precision engineering problem. In view of my
earlier sightings in the Kaipara Harbour, I was willing to accept
that the aerial-type object had been placed there by a unidentified
submarine object, or USO.
Since this photo was taken there has been a determined attempt by
the scientific world to label this object as nothing more that a
plant of some sort. A journalist friend and I managed to visit the
Eltanin during one of its few visits to New Zealand and when we
discussed this object with some of the scientists on board, the
comment was that it was classed as an artifact. This was before the
great hush-up but, regardless of that, I believe that the
mathematical proofs will show without doubt that the object is
artificial, and most probably an aerial of some sort.
The form of this aerial-like structure also fitted in with the
general pattern of the grid as I had envisaged it on the plastic
ball. The six main crossbars denoted the radiating points of six or
twelve great circles which form the main structure of the grid. I
centered the grid on the position of the object found by the Eltanin,
and the 180° reciprocal of this is in Russian Siberia, lining the
whole thing up with the section I had found in New Zealand. I found
the system to be lined up very closely with the magnetic field of
the earth. The equator of the grid followed very closely the line of
zero dip around the world. (That is, the positions on the earth’s
surface where a magnetic compass needle has only a horizontal and no
vertical component.)
In my earlier works I discussed the methods I used to line up the
system and calculate the first estimates of the grid pole positions,
and the major focal points of the grid similar to the Eltanin
“aeriali placement.
The reciprocal position of the Eltanin “aerial” is at latitude
59°08’ north, longitude 75° east, in Siberia. I calculated the
length of the diagonal of what I call, for simplicity, the “polar
grid square” and found it to be 5091.168825 minutes of the arc long.
I plotted a track from the Siberian position through the north
geographic pole and measured off this distance to locate another
corner “aerial” of the polar square.
(Square is not technically the right
word to use as the four sides are formed by sections of small
circles which are in different planes to each other. When the “polar
square” areas are transferred from the surface of the earth sphere
on to a flat plane such as a map, then a perfect square is formed
with sides 3600 minutes long and diagonals of 5091.168825 minutes of
arc.)
In my first two books I stated, in
error, that the sides of the “polar squares” were formed by sections
of GREAT circles 3600 minutes of arc long, instead of SMALL circles.
The great circle distance between these points is in fact 3,418.5
minutes of arc, which is very confusing to any investigator
attempting to reconstruct the grid. I apologize to my readers for
this error, which was caused by my lack of access to calculators
during my earlier research. In the grid pattern there are actually
two small circle segments, and one great-circle segment connecting
each of these points which form the polar squares. Each of the
segments has a different path over the earth and some tricky
calculating is necessary to ascertain the true length.
Although I used the wrong term in my
earlier publications, the actual calculations derived from the grid
system are not altered in any way, and still stand the test of time.
Over the last few years I have slightly refined the values I
demonstrated previously, derived from a mixture of practical and
theoretical studies. I have now set up what I see as a completely
theoretical system, discovered by working entirely by calculator.
Time will prove how close my calculations are. I have no doubt that
I, and others, will continue further to perfect the system as more
facts come to light. Once I had established this first baseline I
found it quite easy to construct the main skeleton of the grid over
the whole surface of the earth.
As my work progressed I found that there were in fact two similar
grids, interlocked with each other. The poles of the grids were
spaced at different distances from the north geometric pole, and
this arrangement set up a series of geometric harmonics which were
directly related to the speed of light, mass, and gravity. The
interaction of the two grids created a harmonic resonance which in
turn, formed a third resultant grid.
The theoretical position for the three grid poles in the northern
hemisphere are a follows:
Grid pole “A” = Latitude
72.4266°/longitude 90° west 1054.4 minutes of arc from the North
Pole. Grid pole “B” = Latitude 78.4266°/longitude 105° west 694.4 minutes
of arc from the North Pole.
Resultant grid pole “C” = Latitude 75.6°/longitude 97.5° west 864
minutes of arc from the North Pole. Reciprocal positions will give
similar values for the southern hemisphere.
DIAGRAM 3

Showing the relationship of a grid polar square to the geographic
pole. Each grid has a similar pattern.
The pole of each grid is set
at a different latitude and longitude.
DIAGRAM 4

Showing the relationship of grid polar squares A, B, and C.
The
polar squares are orientated in reciprocal positions around both the
north and south geographic poles.
Back to Contents
3.- THE
UNIFIED EQUATIONS
SPACE TRAVEL, THANKS TO THE AMERICAN AND Russian rocket programmes,
is a reality. By using great masses of hardware, miles of wiring and
plumbing, Newton’s law of motion and some not inconsiderable
beginner’s luck, the first man on the moon has stepped out of the
pages of Jules Verne into his-story. Probes have been sent out to
study Venus and Mars at close quarters. Considering the brief time
in which man has taken serious notice of ways to bridge the gap
between earth and sky, these are remarkable achievements.
During the 1939-45 war German scientists were carrying out
experiments in rocketry; their experiences gained in directing
doodlebugs towards London made them the leaders in this field;
Werner von Braun and other German experts subsequently passed on
their knowledge and experience to others on both sides of the Iron
Curtain. Those Model T’s of rocketry, the V-2s, have given rise to
the sophisticated Apollo and Vostok power units which thrust comparatively
tiny pay-loads into the void of space.
They work. And they have enabled man to venture far away from his
own planet.
Yet, before the first space vehicle built on this planet thrust its
snout beyond the ultimate atom of air in the envelope which clings
as a life-sustaining wrapper about our planet, the method was
already out of date. It may have been out of date centuries ago. As
a means of propulsion rockets are obsolete — as obsolete as a propulsion
method as the sling-shot is out of date as a weapon. In both cases
brute force is the criterion; in both cases the law of diminishing
returns rules the game. As the power of the prime mover is
increased, the size and cost of the system becomes less and less
practicable, and the pay-load must eventually fail to give
sufficient returns in relation to the effort expended in moving it
through space. A rocket allowed mankind to take the first essential
step; but it is obvious, if we stop to think about it, that rocket
propulsion cannot be the answer to exploration of the star systems
that surround our galaxy.
Even if we could eventually achieve speeds approaching that of light
itself, we could never hope to venture far from the solar system in
one lifetime. The distances are vast; rockets the size of small
cities would be necessary, so that several generations could live
out their lives during the journey through space in order that there
would be colonists for the far planet destinations. It might be
possible to do this. It would not be very practicable. As a theme
for science fiction writers it has been a bountiful source of
stories.
The first glimmerings of how true space travel might be achieved
came to me when I uncovered the first clues that led me to the UFO
grid which laces about our globe. I published my findings and hoped
that someone with greater scientific knowledge than I possess would
carry on from that point — and finally discover every secret locked
into the system.
I was aware that my calculations were not precisely accurate — in
the strict mathematical sense — but I could see that the system was
based on space-time geometries, and at least there was the best
possible support for this none less than the theories of Einstein.
Somewhere, I knew, the system contained a clue to the truth of the
unified field which, he has postulated, permeates all of existence.
I didn’t know at the time that this clue had already been found by
scientists who were well ahead of me in the play. I know now that
they must have understood something of the grid system years ago.
They knew that Einstein’s ideas about the unified field were
correct. What’s more, for many years they have been carrying out
full-scale research into the practical applications of the mathematical
concept contained in that theory.
I believe, and with good reason, that the full facts have been known
to at least some scientists for many years. The very fact that
man-made scientific equipment has been built into the UFO grid
system, which I put forward as a theory years ago, is evidence that
at least some people had prior knowledge of the grid and its
workings. It must have taken them years to build up the network of
stations which now exists. But as far as they or their masters are
concerned, it is not our right to know.
The only way to traverse the vast distances of space is to possess
the means of manipulating, or altering, the very structure of space
itself; altering the space-time geometric matrix, which to us
provides the illusion of form and distance. The method of achieving
this lies in the alteration of frequencies controlling the
matter-antimatter cycles which govern our awareness or perception of
position in the space-time structure. Time itself is a geometric,
just as Einstein postulated; if time can be altered, then the whole
universe is waiting for us to come and explore its nooks and
crannies. In the blink of an eye we could cross colossal distances;
for distance is an illusion.
The only thing keeping places apart in
space is time. If it were possible to move from one position to
another in space, in an infinitely small amount of time, or “zero
time”, then both the positions would coexist, according to our
awareness. By speeding up the geometric of time we will be able to
bring distant places within close proximity. This is the secret of
the UFOs — they travel by means of altering the spatial dimensions
around them and repositioning in space-time..
When I had completed my first book I was not aware of just how close
I had come to this truth. The answer was literally staring at me
from the pages of my own work for nearly three years, before a visit
from a stranger brought it into my grasp. A year after the book was
published I had a telephone call from a man who had just arrived in
New Zealand from England. He explained that he was a textile
salesman and would be here for only a few days on business. He said
he had heard of my research, and was most insistent that he should
see me. He said that he had very little knowledge of UFOs, but that
he would like to talk to me about my theories. Could he come out to
my home for a visit? On that particular evening I was busy with some
affairs of my own; I wasn’t anxious to entertain a stranger, but in
the end I agreed to see him.
He arrived in a rented car, and at once began questioning me about
my activities and my research. It was soon obvious that he knew a
great deal more about the subject of UFOs than he was prepared to
admit; and he was quite demanding about getting his questions
answered. He had an air of nervous tension about him as he checked
through pages of my calculations; then he wanted to know where I
kept all of my data, and if there were many people who knew about my
studies.
I make no secret of whatever findings I turn up, and I showed him
everything he asked to see. Finally he insisted that there was
something I hadn’t shown him — an equation which knitted all my
calculations together. In some surprise I told him I knew of no such
equation; his expression was eloquent of disbelief.
As this discussion proceeded I informed him that there were probably
others who thought as he did — that I had some such equation up my
sleeve, because I was being watched and on several occasions my car
had been followed. I added that since he had come to my home he
would most likely have unwanted company on his way back into the
city. Whoever it was that was keeping an eye on me, I told him,
would probably believe him to be a contact man from abroad and would
therefore be interested in his movements. I must admit that I told
him this intriguing little tale to see what his reaction might be. I
was fascinated to see his apparent nervousness become increased, and
in some agitation he decided it was time to leave. His departure was
hurried; I have neither seen him nor heard of him since.
For the next two or three days I found myself going over and over
his questions. The more I thought about it, the more convinced I
became that the stranger had known far more about my calculations
than I did myself. Was there something there which he could see —
but which I had missed? If there was an equation buried somewhere in
my figuring, then I would have to find it. Reworking the math, I
finally decided to concentrate specifically on three harmonic values
which appeared to have a close relationship with one another.
Previously, I had shown this connection, and had truthfully pointed
out that I did not know why the relationship was there at all.
These were the harmonic values that now
fully occupied my attention:
1703 — This is the four-figure harmonic
of 170,300,000,000, which is the expression in cubic minutes of arc
of the mass or volume of the planet Earth and its surrounding
atmosphere.
1439 — A four-figure harmonic of 143,900 minutes of arc per grid
second, representing the speed of light in grid values.
2640 — This
figure, expressed in minutes of arc values, is built into the polar
portion of the grid structure as a geometric co-ordinate.
Now I
found that when I matched these values harmonically the results were
as follows. Zeros to the right-hand side can be ignored in this form
of harmonic calculation:
1703
-264
1439
In other words the difference between the harmonic of mass and the
harmonic of light is the harmonic of 264(or 2640). It was now
apparent that if any calculations were more accurately worked out it
should be possible to find out just what the 2640 figure referred
to.
After several hours of work the following was what looked up at me
from my paper:
17025 earth mass harmonic
- 2636 unknown harmonic
14389
Checking through the five-figure mathematical tables I found to my
surprise that 2.6363 is the square root of 6.95 (from the 1-10
square root tables). In harmonic calculations of this kind decimal
points as well as zeros to the right of a figure can be ignored; so
it could be said that the square root of 695 was 2636. Now I could
perceive the first steps necessary to solving the elusive equation.
I had long established that 695 is the harmonic reciprocal of the
speed of light, or 1/1439.
The calculations were now sufficiently
accurate for algebraic values to be substituted — although obviously
a computer would be necessary to solve the true values to extreme
accuracy.
17025(earth mass) - 2636(square root of speed of light reciprocal)
14389(speed of light) If C = the speed of light, and
M = mass Then

Now at last I had the first part of a unified field equation in
harmonic values. To take the next step I first had to go back to
Einsteinian theory, particularly the famous equation, E=MC2, where E
is energy, M is mass and C the speed of light.
Einstein declared that physical matter was nothing more than a
concentrated field of force. What we term physical substance is in
reality an intangible concentration of wave forms. Different combinations
and structural patterns of waves unite to form the myriads of
chemicals and elements which in turn react with one another to form
physical substances. Different wave forms of matter appear to us to
be solid because we are constituted of similar wave forms which
resonate within a clearly defined range of frequencies — and which
control the physical processes of our limited world.
Einstein believed that M, the value for
mass in the equation. could eventually be removed, and a value
substituted that would express the physical in the form of pure
energy. In other words, by substituting for M, a unified field
equation should result which would express in mathematical terms the
whole of existence — this universe, and everything within it. As I
have already said, it seems that before his death Einstein did
indeed produce this equation. What the mathematical terms were which
he used, I do not know; but I couldn’t help wondering what results I
might get if I were to tackle the problem from the point of harmonic
math. If an equation could be found which had a harmonic affinity
with all substance, one which showed a resonance factor tuned to
matter itself, then the problem, perhaps, would be solved.
Einstein maintained that the M in his equation could be replaced by
a term denoting wave form. I had now found a substitute for M in
terms of wave form of light. So the obvious step, to me, was to
replace Einstein’s M with the values of C, found from the UFO grid.
These are the results I obtained:

in terms of light or pure electromagnetic wave form — the key to the
universe, the whole existence; to the seen and the unseen, to form,
solids, liquids, gases, the stars and the blackness of space itself,
all consisting of visible and invisible waves of light. All of
creation is light; that was the answer that had been right within my
grasp for four years.
Now it was necessary to check the validity of the equation; to
accomplish this I needed a computer and the help of an expert in
pure mathematics.
A young man who had attended one of my lectures said he was willing
to put a small computer at my service and a friend of his, an
excellent mathematician who had a larger computer was willing to
programme it harmonically to give me assistance should I need it. I
was deeply appreciative of both offers and the subsequent
calculations proved the initial equation to be valid. Throughout all
my research I have always been at the limits of my own knowledge,
for ever frustrated by my slow rate of progress. I could always see
much further ahead than my technical ability would allow me to
travel.
In my earlier publications I had stated that I believed that the
value of 2545.58, the geometric distance in minutes of arc, from the
grid poles to the main corner aerial positions, in the grid polar
squares, was a harmonic of gravity acceleration. I am now aware that
his assumption was incorrect and that the true value for the
harmonic of gravity acceleration is derived from the speed of light.
The diagonal of the “polar square” of 5091.168825 units can be
broken down into a series of values:
5091.168824 / 2 = 2545.584412
2545.5844122 = 6480000
The number 648 is a harmonic factor of
great importance, as will be demonstrated in other sections of this
book. The many other harmonic factors centered around the “polar
square” corner aerial positions, form a series of complex
mathematical associations and this can be left for those who wish to
carry out their own research. The reciprocal of 2545.58, rounded off
to four-figure accuracy, was given as a harmonic of 3930, (Now
corrected to 3928371).
When I made my initial discovery of the
unified equations, the harmonic of 3930 was thought to be that of
anti-gravity. It is now known that this value is related to the
earth’s magnetic field. Although I labeled them wrongly the actual
values have stood the test of time and still fit into the equations
as originally demonstrated. The harmonic equations are those from
which an atomic bomb is developed. By setting up derivatives of the
equation in geometric form, the relative motions of the wave forms
inherent in matter are zeroed, and convert from material substance
back into pure energy.
By reversing the process, physical substance in any desired shape or
form could be produced from pure energy. While practical
applications of the latter possibility may still be far in the
future, we are nevertheless at least capable, now, of destroying
matter. As I have stated elsewhere — scientists can make a bang from
a bomb, but as yet they are still unable to get the bang back into
the bottle.
Although I was much happier with progress when I arrived at this
point in my calculations, there were still some important answers
missing. As far as they went, the equations explained the workings
of a nuclear explosive device, but they still had not yielded the
secrets of UFO propulsion. The UFO grid was undoubtedly constructed
on the basis of the equation, yet a UFO does not disintegrate when
it moves within the resonating fields of the system. There had to be
an extension of the equation, which so far I had missed, that would
produce the necessary harmonics for movement in space-time. But I
felt close to the solution, and I was determined to find it.
It has often been my experience that when a stalemate is reached it
is best to throw aside one’s work for a time and take a rest. For
the next few weeks I deliberately forgot everything even remotely
connected with UFOs. But one evening, unheralded and unexpected, a
thought flashed into my mind. Why only deal with single values of C?
The key was turned and a sequence of doors swung open, one after
another, to reveal secrets of space and time. In the polar area of
the UFO grid the geometric values of some of the co-ordinates appear
to be doubled up.
The diagrams of the “polar squares,” as I have termed them,
incorporate twice the value of 2545.56.
In the resultant grid polar square the speed of light reciprocal
harmonic of 695 is incorporated in a harmonic of 2695. These
coordinates are the same from corner aerial positions to the
geographic poles. It appears that the factor 2 preceding the 695
serves to harmonically double the reciprocal of the speed of light.
I reasoned that a way to check this idea was to increase the values
of C in my equation, and observe the changing harmonic of E. In a
few hours in pursuit of this line of thought, I was able to say: “I
have found something extremely interesting”.
It was apparent that one only had to double the value of C. Once I
had done this, it was possible to produce two different equations
through the use of the tables relating to the square root portion of
the equation. The results differed according to whether square roots
1-10 or 10-100 were employed. In equation No. 1, I found that the
resulting harmonic was: 3926991712050.
This was the value calculated by the
computer after we had fed the equation in, and gradually corrected
from one side of the equation to the other. I was only too well
aware that my calculations were only of “near-enough” accuracy up to
this point, and had been sufficient only to form a general basis for
the theories I had developed. Four-figure accuracy in fact is just
not nearly good enough, as any pure scientist will be quick to
agree. By feeding in the harmonics on either side of the equation
and gradually correcting, the 12-digit value was finally arrived at.
This harmonic is not yet completely accurate; larger computers will
the necessary to carry on the correction to the ultimate of precision.
Nevertheless, the result is now “good enough” as far as I am
concerned, and it may at least start off a scientist of an
independent nature to carry out further investigations of his own. I
had shown previously that the four figure harmonic of 3930 (rounded
off to four figures) was the close reciprocal of 2545.58.
In a practical sense the values were near enough to demonstrate what
I was trying to establish. Therefore I considered that the harmonic
of 392699171205, derived by doubling the C component of the
equation, was also indicating a reciprocal of the 2545.58 value
found in the grid polar square areas. With slight corrections the
equation could now be expressed thus:

The second equation is derived by using the square root of the
10-100 tables. This equation is as follows:

The nearest we have brought this to accuracy, using a small desk
computer, is as follows:


The speed of light harmonic accurate to four figures is equal to
1439, as I have said elsewhere. The value used in this calculation
according to the more accurate computer check equals 1438881. As I
have already stated, the true value will only be derived by the use
of highly sophisticated computers.
Another possible lead for mathematician readers is the fact that the
natural tangent of 36° is 72654. The square of 26953 from the
equation is 726504, which is very close.
The fact that the harmonic of light has only to be doubled in order
to obtain anti-light fields must be related to the matter and
antimatter cycles of the physical and the non-physical worlds. If
the two, plus and minus, fields are interlocked, as I have
postulated, and matter and anti-matter manifest in alternate pulses,
then a double cycle must occur between each pulse of matter and
antimatter. The antimatter pulse cannot be perceived by us, for
fairly obvious reasons; but when calculating the frequency
interaction between the two, both cycles must be taken into account.
By stepping up or slowing down the frequency of C between the two
cycles, a shift in space-time must occur.
Back to
Contents
4.- FURTHER
EVIDENCE OF THE UFO GRID
...AND NOW TO LOOK AT SOME EVIDENCE OF
THE existence of the global grid which is used by UFOs, either for
propulsion, navigation or both.
In the early part of 1968 I was approached by a co-pilot of a
National Airways Corporation Viscount. He had an interesting account
for me:
The previous day he had been a crew member of a Viscount flying
north to Auckland from Wellington. Between New Plymouth and
Auckland, with the aircraft at 19,000 feet, a request was received
from Air Traffic Control to divert slightly starboard of track.
Radar operators at Auckland airport had three stationary objects on
their screen, spaced at intervals down the west coast between Raglan
and New Plymouth.
The Viscount was vectored towards these positions by radar control,
and the crew was asked to scan the area, to check whether the
objects causing the radar blips were visible to the human eye. The
maneuver was carried out accurately, but there was no sight of
anything unusual in the sky. Although the presentation of the
objects on the radar screen was clear and pronounced, the operators,
in view of the crew’s negative report, prepared to dismiss the
incident. And suddenly the blips disappeared, disposing of the
problem anyway.
Until the next day, when I appeared in the radar room with my grid
map under may arm.
I discussed the incident with the radar crew, and one of them then
plotted the positions of the three unknown objects on the radar map
on the display board. When these positions were compared with my
grid map, it was immediately apparent that the UFOs were spaced
along one of the north-south grid lines running down the coast, and
that the intervals between the UFOs were thirty nautical miles and
fifteen nautical miles — a spacing that coincided with track lines
running east-west on the grid.
Clearly our visitors were active again; some project was in progress
on this section of the system occupying their attention when they
had been disturbed by the approach of the Viscount.
Recently I have been able to correlate this particular incident with
other human activity off the coast of New Zealand, which strongly
suggests that our close-lipped scientists are not only aware of the
actual existence of alien visitors, but are indeed working in close
co-operation with them. We shall enlarge upon this point later.
By now my old, original grid map, which I completed in 1965, is
showing signs of wear and tear; but it still helps me to prove to
anyone interested that the grid is no myth, not something I have
just dreamed up in order to confuse an already baffled public. I
could not possibly have predicted the positions of those three blips
seen on an airport radar screen, long before they actually made
their appearance; yet, unless the grid map is in fact accurate and
reliable, that is the only alternative explanation. At least one of
my critics has dismissed my work with an amusingly contemptuous “Oh
well, you can prove anything by numbers!” Forecasting the future by
numbers and lines may or may not be possible, but I have neither the
training, knowledge nor understanding to attempt that sort of thing.
And I’m pretty sure I don’t possess second sight; more’s the pity!
Another incident which occurred later in 1968 was one that startled
the flying fraternity. The RNZAF was in on this one, but as happens
with air forces in other parts of the world the authorities quickly
hushed the matter up. The lid was slammed down tightly on Pandora’s
box, which must be pretty full by now; it manages to fly open with
increasing regularity, much to the anguish of those who would like
to have the whole business of UFOs thought of by the public as a
modern fairy-tale.
An Air Force Orion was carrying out a routine exercise mission off
the west coast of New Zealand’s North Island one cloudy afternoon,
when the crew was alerted by radar control. An unidentified object
was traveling at the leisurely pace of about forty knots from north
to south some thirty miles off the coast. The Orion was requested to
check on this intruder, and was vectored on to an intercept course.
Approaching closer to the object, the Orion’s forward-seeking radar
locked on to the visitor, but there was no solid object visible to
anyone on board. According to my information the object then lost
altitude, and the Orion followed it down. The crew then reported
that a whirlpool-like eddy was visible on the surface of the sea.
Perhaps the object, whatever it was, had dived into the ocean and
escaped in submarine fashion.
This, you may be sure, will not be the last time that UFOs will be
tracked by radar in our skies. About once a month I am approached by
an aircrew member and am informed of yet another UFO sighting in the
New Zealand area. If all these crew members are crazy, then our
airlines are a fairly precarious means of travel for the
unsuspecting public.
Why is it that none of the reports that reach me are printed in the
newspapers? The answer is this: the newspapers never receive them.
Aircrew members are, on the whole, a conservative breed, and they
jealously guard their image as a sane and level-headed group,
dedicated only to the task of flying in a “safe and expeditious
manner”, as it is termed in the code of regulations. So far I have
been one of the few foolish people in commercial flying to stick my
neck out and make public what I have seen, theorized and heard.
Perhaps in the near future others in my profession will come forward
give support to my statements; there are many who believe, as I do,
that the truth is more important than most of the artificial
criteria with which we burden ourselves in this so-called civilized
society of ours.
Nuclear tests are still with us, and provide a perfect check on the
harmonic calculations which I described previously. The French were
active at Mururoa Island again in 1968, and gave me a further
opportunity to make some predictions on the possible dates on which
a nuclear device could be exploded.
Mostly for my own satisfaction I spent one evening calculating all|
the possible combinations in harmonic values necessary for the
detonation of a nuclear bomb, to cover the whole of the testing
period.
I was quite aware that I had not yet discovered all of the harmonics involved, but by carrying out constant checks on the
activities of the scientists involved, I hoped that in time most of
the
secrets would eventually be revealed. I doubt if many of the boffins
will welcome my constant snooping; but I believe that if the public
is under a constant threat of annihilation they at least have the
right to know how the mechanics of the operation will be carried
out. The more knowledge we have, the better our chances of stopping
these idiots from blasting our planet into eternity.
A few weeks after I tucked away my calculations, I was invited
to present a lecture on UFOs to the Royal Aeronautical Society in
Auckland. Just before the lecture I was taken out to dinner by the
president and the secretary of the society. Over the meal
conversation turned to my theories regarding the nuclear bomb tests.
Not altogether unnaturally, the president was inclined to be skeptical
of my methods of calculation, and he asked me quite casually when
the next French bomb would be detonated. I told him that the 25th of
the month, about a fortnight away, was my bet; the talk then
switched to more mundane matters.
The lecture, presented to a capacity audience, was well received,
and the bomb discussion forgotten.
On the 25th of the month the peace of Mururoa Island was shattered,
and the echoes of the French nuclear explosion rippled around the
world. It was another personal victory for me to chalk up.
That afternoon my telephone rang. It was the president of the Royal
Aeronautical Society. Could I come into the city for a chat, and
could I give further test dates to cover the rest of the current
French series?
This I did. The dates I supplied proved to be correct, culminating
in the explosion of France’s hydrogen bomb. Further tests were
cancelled when President de Gaulle found that the French bankers
were having a lean year. It was a choice between bread and bombs,
and bread won.
I had proved my point that the dates of nuclear tests could be
accurately predicted on the basis of harmonic calculations. The
president of the Society, who is also the head of a government
department, gave me a copy of notes he had made on some of my
predictions. He told me that these had been passed on to the heads
of other government departments.
This memo is shown in photocopy No. 1. It shows that my prediction
for the hydrogen bomb test was very close. For the moment I was
quite satisfied with this very small error. I would have been
satisfied had I been several hours out.
Newsweek magazine reported:
“Drilling for future nuclear tests - Last week’s underground test of an ‘advanced nuclear weapon’ at Pahute Mesa, north of Las Vegas, foreshadows even bigger blasts. The
atomic energy commission has drilled several cased holes a mile deep
in Central Nevada 100 miles north of the present test site. It has
let further contracts for construction of four test holes to a depth
of 6000 feet on Amchitka, the fourth island from the end of the
Aleutian chain. These holes take a year and a half to drill and mine
out at the bottom. In essence the AEC is stockpiling holes in the
ground against future test requirements.”
PHOTOCOPY 2
PHOTOCOPY OF ATOM BOMB PREDICTIONS
Photo-copy of predictions of atom tests to be carried out by French
scientists at Mururoa Island in the Pacific, in 1968,
handwritten
and predated by the head of a government department in Auckland
City, New Zealand.
The actual time shown is that of the hydrogen
bomb.
I was informed that this note was passed on to four other
government departments before the test date.

Recent computer lists of the geometric positions of many atomic
tests carried out at the Nevada test site show that a great number
of them have been detonated on positions which straddle a latitude
of 37.1195° north. This would create a reciprocal harmonic of 2694,
an average value related to the unified equations discovered in my
research.
In my earlier publications I indicated that a mass value was
possibly utilized for the Aleutian Island tests. Now that I have
computers to work with I believe that a more accurate set of values
can be demonstrated which would allow the geometric harmonics,
required for successful detonation, to be fulfilled. A position of
51° 25’ 10.85” north/ 179° 24’ 00” east, on the south east end of
the island would be ideal as a test site. The great circle distance
from this point to longitude 180°, at the same latitude is:
1347 seconds of arc; which is a half harmonic of 2694; the average
value derived from the unified equations.
The circumference of the parallel of latitude at 51° 25’ 10.85” is:
13470 minutes of arc, or nautical miles, relative to the Equator.
This again is a half harmonic of 2694 (unified equation) Other
harmonics which are associated with this position and grid pole “B”
in the north have connections with gravitation. This will be
explained more fully in later works.
For interest, the test site of Bikini Island and Eniwetok are 11°
35’ north latitude, which equals 695 minutes of arc. This figure,
695, is the harmonic of the speed of light reciprocal, or 1/1439.
Johnson Island is 169.5° west longitude.
Note:
It has been discovered in later research that the speed of light is
not a constant over the earth’s surface. It varies in relation to
gravity acceleration. This in turn causes a slight variation of the
values derived from the unified equations. This will be more fully
explained in future publications.
Back to Contents
|